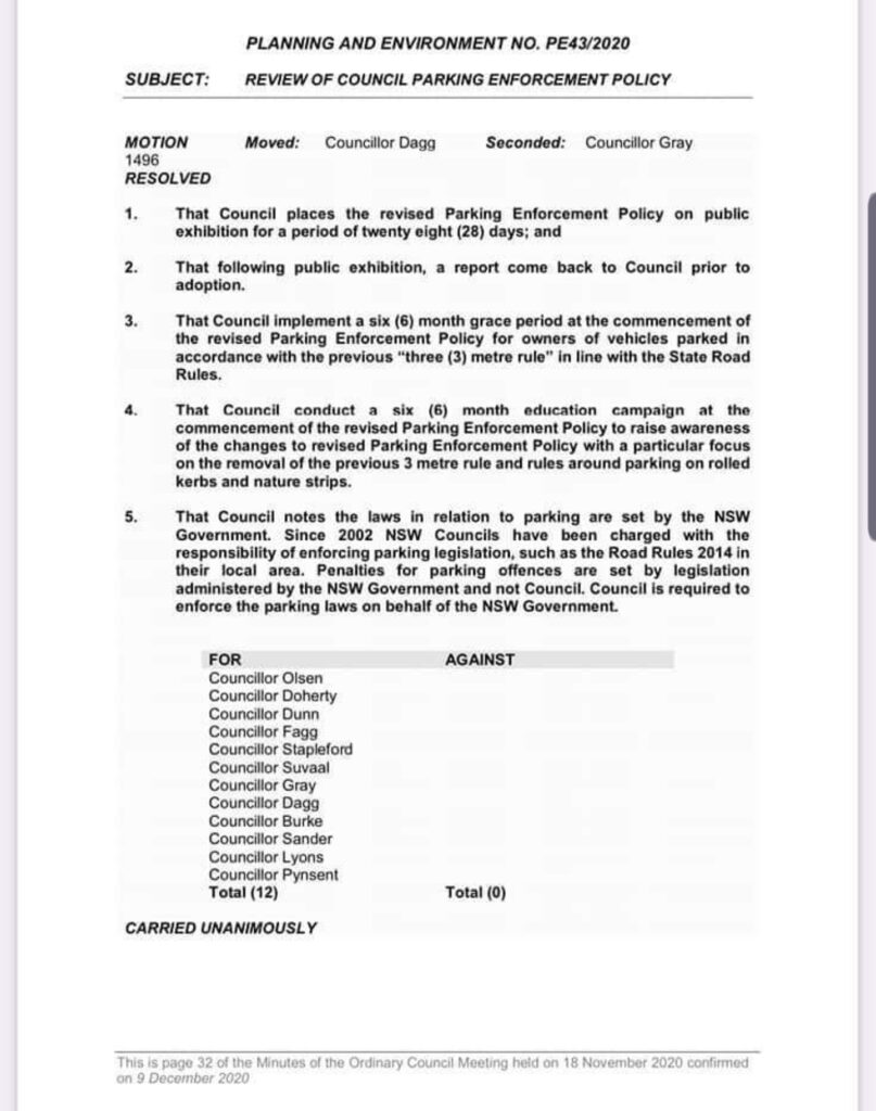
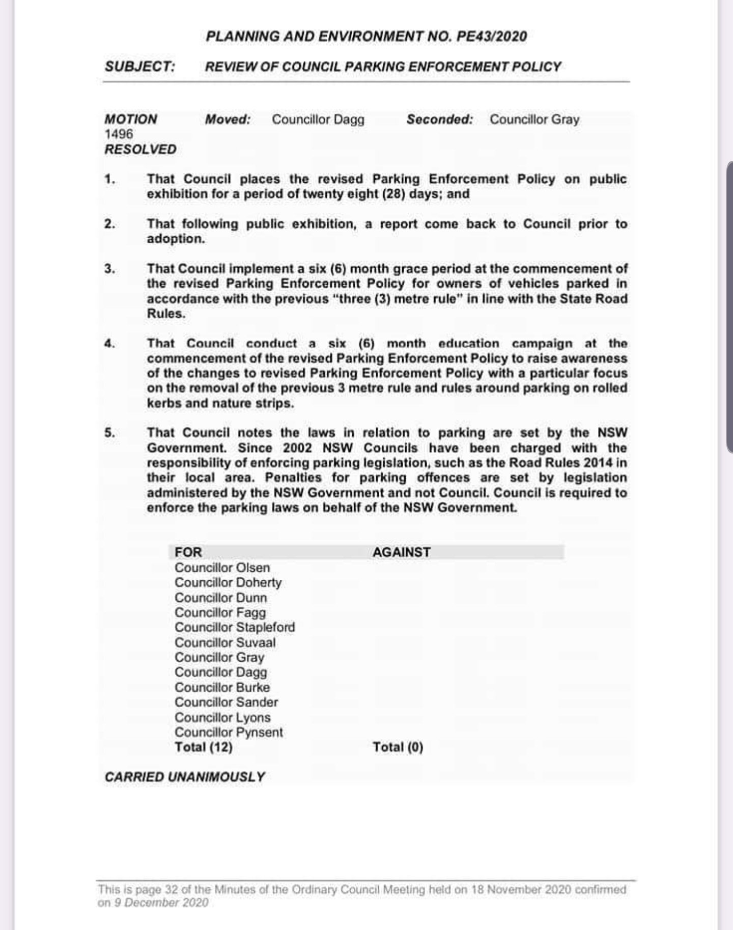
CESSNOCK COUNCILLOR JAY SUVAAL BACKFLIPS ON PARKING POLICY
Cr Jay Suvaal pictured above standing in the middle of the road after completing a triple backflip with a perfect dismount is putting forward a motion to repeal the parking policy that Cr Jay Savaal voted in favor of, which Cessnock City Council went on to adopt the policy. See the image below of councillors who blindly voted in favor of a policy they did not understand and then requested a training day to understand the policy, only to realize they don’t have jurisdiction to set road rules in NSW. The new parking policy is designed to bring council rules in...
🔒 Gold Members Only
Upgrade to continue reading.